右图为轴承工作时轴颈的位置。如图所示,轴承和轴颈的连心线OO1与外载荷F(载荷作用在轴颈中心上)的方向形成一偏位角
。
轴承孔和轴颈分别用D和d表示,则轴承直径间隙为:△=D-d

半径间隙为轴承孔半径R与轴颈半径r之差,则
δ=R-r= Δ/2
直径间隙与轴颈公称直径之比称为相对间隙,以ψ表示,则
ψ=Δ/d= δ/r
轴颈在稳定运转时,其中心O与轴承中心O1的距离,称为偏心距,用e表示。偏心距与半径间隙的比值,称为偏心率,以χ表示,则 χ=e/δ
于是由图可见,最小油膜厚度为
hmin=δ-e=δ(1-χ)=rψ(1-χ)
对于径向滑动轴承,采用极坐标描述比较方便。取轴颈中心O为极点,连心线OO1为极轴,对应于任意角
(包括
均由OO1算起)的油膜厚度为h,h的大小可在△AOO1中应用余弦定理求得,即: 
解上式得: 
若略去
,并取正号,则得任意位置的油膜厚度为:
在压力最大处的油膜厚度为:
式中
相应于最大压力处的极角。
将雷诺方程写成极坐标形式,即
及h,h0 代入雷诺方程后得极坐标形式的雷诺方程

将上式从油膜起始角
到任意角
进行积分,得任意位置的压力,即
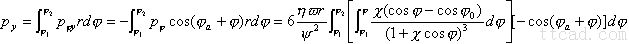
压力
在外载荷方向上的分量为
: 
把上式在
到
的区间内积分,就得出在轴承单位宽度上的油膜承载力,即

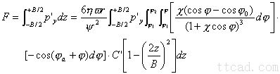
为了求出油膜的承载能力,理论上只需将py乘以轴承宽度B即可。但在实际轴承中,由于油可能从轴承的两个端面流出,故必须考虑端泄的影响。这时,压力沿轴承宽度的变化成抛物线分布,而且其油膜压力也比无限宽轴承的压力低(左图),所以乘以系数
,
的值取决与宽度比B/d和偏心率
的大小。这样,在
角和距轴承中线为z处的油膜压力的数学表达式为

因此,对有限长轴承的总承载能力为
由上式得
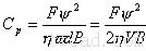
式中
于是得 
式中Cp为一个无量纲的量,称为承载量系数,η为润滑油在轴承平均工作温度下的动力粘度,Pa·s;B为轴承宽度,m;F为外载荷,N;V为轴颈圆周速度,m/s。
Cp的积分非常困难,因而采用数值积分的方法进行计算,并作成相应的线图或表格供设计应用。在给定边界条件时,Cp是轴颈在轴承中位置的函数,其值取决于轴承的包角α(入油口和出油口所包轴颈的夹角),相对偏心率
和宽径比B/d。当轴承的包角α(α=120°,180°或360°)给定时,经过一系列的换算,Cp可表示为: 
若轴承是在非承载区内进行无压力供油,且设液体动压力是在轴颈与轴承衬的180度的弧内产生时,则不同
和B/d 的承载量系数Cp值见下表。
B/d |
| |||||||||||||
| 0.3 | 0.4 | 0.5 | 0.6 | 0.65 | 0.7 | 0.75 | 0.8 | 0.85 | 0.9 | 0.925 | 0.95 | 0.975 | 0.99 | |
承 载 量 系 数 Cp | ||||||||||||||
| 0.3 | 0.0522 | 0.0826 | 0.128 | 0.203 | 0.259 | 0.347 | 0.475 | 0.699 | 1.122 | 2.074 | 3.352 | 5.73 | 15.15 | 50.52 |
| 0.4 | 0.0893 | 0.141 | 0.216 | 0.339 | 0.431 | 0.573 | 0.776 | 1.079 | 1.775 | 3.195 | 5.055 | 8.393 | 21.00 | 65.26 |
| 0.5 | 0.133 | 0.209 | 0.317 | 0.493 | 0.622 | 0.819 | 1.098 | 1.572 | 2.428 | 4.261 | 6.615 | 10.706 | 25.62 | 75.86 |
| 0.6 | 0.182 | 0.238 | 0.427 | 0.655 | 0.819 | 1.070 | 1.418 | 2.001 | 3.036 | 5.214 | 7.956 | 12.64 | 29.17 | 83.21 |
| 0.7 | 0.234 | 0.361 | 0.538 | 0.816 | 1.014 | 1.312 | 1.720 | 2.399 | 3.580 | 6.029 | 9.072 | 14.14 | 31.88 | 88.90 |
| 0.8 | 0.287 | 0.439 | 0.647 | 0.972 | 1.199 | 1.538 | 1.965 | 2.754 | 4.053 | 6.721 | 9.992 | 15.37 | 33.99 | 92.89 |
| 0.9 | 0.339 | 0.515 | 0.754 | 1.118 | 1.371 | 1.745 | 2.248 | 3.067 | 4.459 | 7.294 | 10.753 | 16.37 | 35.66 | 96.35 |
| 1.0 | 0.391 | 0.589 | 0.853 | 1.253 | 1.528 | 1.929 | 2.469 | 3.372 | 4.808 | 7.772 | 11.38 | 17.18 | 37.00 | 98.95 |
| 1.1 | 0.440 | 0.658 | 0.947 | 1.377 | 1.669 | 2.097 | 2.664 | 3.580 | 5.106 | 8.186 | 11.91 | 17.86 | 38.12 | 101.15 |
| 1.2 | 0.487 | 0.723 | 1.033 | 1.489 | 1.796 | 2.247 | 2.838 | 3.787 | 5.364 | 8.533 | 12.35 | 18.43 | 39.04 | 102.90 |
| 1.3 | 0.529 | 0.784 | 1.111 | 1.590 | 1.912 | 2.379 | 2.990 | 3.968 | 5.586 | 8.831 | 12.73 | 18.91 | 39.81 | 104.42 |
| 1.5 | 0.610 | 0.891 | 1.248 | 1.763 | 2.099 | 2.600 | 3.242 | 4.266 | 5.947 | 9.304 | 13.34 | 19.68 | 41.07 | 106.84 |
| 2.0 | 0.763 | 1.091 | 1.483 | 2.070 | 2.446 | 2.981 | 3.671 | 4.778 | 6.545 | 10.091 | 14.34 | 20.97 | 43.11 | 110.79 |
1;所有标注为智造资料网zl.fbzzw.cn的内容均为本站所有,版权均属本站所有,若您需要引用、转载,必须注明来源及原文链接即可,如涉及大面积转载,请来信告知,获取《授权协议》。
2;本网站图片,文字之类版权申明,因为网站可以由注册用户自行上传图片或文字,本网站无法鉴别所上传图片或文字的知识版权,如果侵犯,请及时通知我们,本网站将在第一时间及时删除,相关侵权责任均由相应上传用户自行承担。
[complaint:内容投诉]
智造资料网打造智能制造3D图纸下载,在线视频,软件下载,在线问答综合平台 » 径向滑动轴承的几何关系和承载量系数(图文教程)

