冲压模具设计:冲裁件级进模模具设计图文教程

如图1-1所示的冲件为大批量生产,材料Q235,材料厚度为1.5mm,设计冲裁模。设计过程如下:

1.冲压件工艺性分析

(1)材料Q235普通碳素钢,抗剪强度t=304 ~ 373MPa、 抗拉强度0n=432 ~461MPa、屈服极限σ。=253MPa、伸长率810=21% ~25%。具有良好的冲压性能,适合冲裁加工。

(2)结构与尺寸 工件结构相对简单,有一个φ10mm的孔;孔与边缘最小壁厚为5.5mm,大于倒装复合模的凸凹模最小壁厚3.4mm(见资料[A]P98);凹槽宽度满足b≥2t即6>2X 1.5= 3mm,凹槽深度满足l≤5b即5<5X6= 30mm见资料[A]P4。均适宜于冲裁加工。

(3)精度工件的尺寸全部为自由公差,可看作IT14级,尺寸精度较低,普通冲裁完全能满足要求。

2.冲裁工艺方案的确定

冲孔一落料级进冲压,采用级进模生产。.

3.选择模具总体结构形式。

由冲压工艺分析可知,采用级进冲压,所以模具类型为级进模。

(1)确定模架类型及导向方式

该模具采用对角导柱模架,这种模架的导柱在模具对角位置,冲压时可防止由于偏心力矩而引起的模具歪斜。导柱导向可以提高模具寿命和工件质量,方便安装调整。

(2)定位方式的选择

该冲件采用的坯料是条料,控制条料的送进方向采用导料板,无侧压装置。控制条料的送进步距采用侧刃粗定距,导正销精定距。采用手工操作。

(3)卸料、出件方式的选择

因为该工件料厚1.5mm,尺寸较小,所以卸料力也较小,拟选择弹性卸料、下出件方式。

4.必要的工艺计算

(1)排样设计与计算

该冲件外形大致为矩形,采用直排时材料利用率最高,如图1-2 为排样方法。搭边值取a1= 1.5mm和a'=0.75a=0.75x1 .8≈1.4mm,条料宽度为40.7mm,步距离为A = 29.5mm,一个步距的材料利用率约为69%。(计算详见表1-1)


冲压模具设计:冲裁件级进模模具设计图文教程,模具设计,冲压,教程,第1张


图1-1零件图图1-2零件排样图(2)计算冲压力.该模具采用级进模,拟选择弹性卸料、下出件结构。根据计算结果,冲压设备拟选J23-25。(冲压力的相关计算详见表1-2)


冲压模具设计:冲裁件级进模模具设计图文教程,模具设计,冲压,教程,第2张



冲压模具设计:冲裁件级进模模具设计图文教程,模具设计,冲压,教程,第3张


3)计算模具压力中心计算压力中心时,先画出凸模刃口图,如图纸所示。在图中将xoy坐标系建立在图示的对称中心线上,将冲裁轮廓线按几何图形分解成1~ 6共6组基本图形,用解析法求得该模具的压力中心0点的坐标(26.5,2.8)。 (相关计算详见表1-3) .


冲压模具设计:冲裁件级进模模具设计图文教程,模具设计,冲压,教程,第4张


代入公式(1)、 (2)得:


冲压模具设计:冲裁件级进模模具设计图文教程,模具设计,冲压,教程,第5张


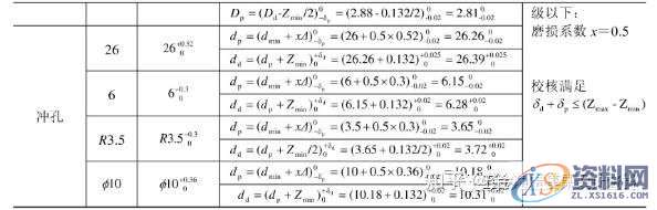
(4)计算凸、凹模工作部分尺寸并确定其制造公差由于凸、凹模的形状相对较简单且材料较厚,冲裁间隐较大,故凸、凹模可采用分开加工法确定凸、凹模刃口尺寸及公差。采用线切割机床加工凸模、凹模、凸模固定板以及卸料板,这种加工方法可以保证这些零件各个孔的同轴度,使装配工作简化。因此工作零件刃口尺寸计算就按分开加工的方法来计算,具体计算见表1-4所示。


冲压模具设计:冲裁件级进模模具设计图文教程,模具设计,冲压,教程,第6张



冲压模具设计:冲裁件级进模模具设计图文教程,模具设计,冲压,教程,第7张


(5)卸料橡胶的设计卸料橡胶的设计计算见表1-5。 选用的四块橡胶板的厚度务必一致,不然会造成受力不均匀,运动产生歪斜,影响模具的正常工作。


冲压模具设计:冲裁件级进模模具设计图文教程,模具设计,冲压,教程,第8张


5.选择与确定模具的主要零部件的结构与尺寸。(1)工作零件的结构设计①凹模凹模采用整体凹模, 各冲裁的凹模孔均采用线切割机床加工,安排凹模在模架上的位置时,要依据计算压力中心的数据,将压力中心与模柄中心线重合。其轮廓尺寸计算:凹模厚度H= kb=0.3x86.7= 26mm (查教材,K=0.3)凹模壁厚c= (1.5~2) H= 39 mm~ 52mm取凹模厚度H= 30mm,凹模壁厚c= 45mm .凹模长度B=b+2c= (86.7+2x45) mm= 176.7mm ( 送料方向) .凹模宽度L= (40.7+2x45) mm= 130.7 mm (垂直送料方向)凹模轮廓尺寸为176.7mmx130.7mmx30mm,取标准化值200mmx 140mmx30mm,结构尺寸如图纸所示。凸模长度: 56mm配用模架闭合高度: 160mm~200mm .孔距(见资料[A]P163图1-68): s= 170mm; s|= 90mm; s2= 110mm; s3= 60mm

垫板厚度: 8mm固定板厚度: 20mm卸料板厚度: 18mm导料板长度: 260mm凹模厚度: 20mm螺钉、销钉、卸料螺钉公称直径及长度、使用数量等。部分零件取如下尺寸:垫板: 200mmx 140mmx8mm固定板: 200mmx 140mmx20mm卸料板: 200mmx 140mmx20mm导料板长度: 200mm凹模厚度: 200mmx140mmx30mm②落料凸模和冲孔凸模结合工件外形并考虑加工, 将凸模设计成直通式,采用线切割机床加工,用2个p4的圆柱销吊装在固定板上,与凸模固定板的配合按H7/m6.其总长L可参考教材“凸模长度计算”并考忠橡胶安装高度进行计算:L= 20+20+28.8 -0.5 = 68.3mm取68.5mm具体结构尺寸可参见图纸所示。(2)定位零件的设计①导料销落料凸模下 部设置一个导正销,借用工件上φ10mm孔作导正孔。导正销的结构如图1-6 所示。导正应在卸料板压紧板料之前完成导正,考虑料厚1= 1.5mm和装配后卸料板下平面超出凸模瑞面0.5mm,所以导正销高出凸模端面直线部分的长度为2mm.导正销采用H7/ r6安装在落料凸模端面,导正销导正部分与导正孔采用H7/ h6配合。②导料板的设计导料板的内 侧与条料接触,外侧与凹模平齐,导料板与条料之间的间隙取0.6mm,这样就可确定了导料板的宽度,导料板的厚度按教材“定位零件”部分设计查表选择。导料板采用45钢制作,热处理硬度为40~ 45HRC,用螺钉和销钉固定在凹模上。卸料板结构尺寸如图纸所示。(3)卸料零件的设计①卸料板的设计卸料板的周 界尺寸与凹模的周界尺寸相同,厚度为20mm。卸料板采用45钢制造,淬火硬度为40~45HRC.采用线切割机床加工,保持与凸模单边间隙0.15mm。◎卸料螺钉的选用卸料板上设置 6个卸料螺钉,公称直径为12mm, 螺纹部分为MI0x15mm。卸料钉尾部应留有足够的行程空间。卸料螺钉拧紧后,应使卸料板超出凸模端面0.5mm,有误差时通过在螺钉与卸料板之间安装垫片来调整。(4)模架及其它零部件设计该模具采用对角导柱模架。以凹模周界尺寸为依据,选择模架规格。(查资料[A]P21.得到上模座厚度40mm,下 模座厚度45mm,闭合高度范围160mm ~ 200


冲压模具设计:冲裁件级进模模具设计图文教程,模具设计,冲压,教程,第9张



冲压模具设计:冲裁件级进模模具设计图文教程,模具设计,冲压,教程,第10张


7.绘制模具总装图及非标准零件零件图。通过以上设计,可得到如图纸所示的模具总装图。模具上模部分主要由上模板、垫板、凸模(6个)、凸模固定板及卸料板等组成。卸料方式采用弹性卸料,以橡胶为弹性元件。下模部分由下模座、凹模板、导料板等组成。冲孔废料和成品件均由漏料孔漏出。条料送进时采用侧刃作为粗定距,在落料凸模上安装- -个导正销,利用条料上φl0mm的孔作为导正销孔进行导正,以此作为条料送进的精确定距。操作时完成第一步冲压后,把条料拾起向前移动,项在侧刃挡块上,冲压时凸模上的导正销再作精确定距。侧刃比步距长0.1mm。当用导正销作精确定位时,由导正销上圆锥形斜面再将条料向后拉回约0.1mm而完成精确定距。零件图略。


冲压模具设计:冲裁件级进模模具设计图文教程,模具设计,冲压,教程,第11张



冲压模具设计:冲裁件级进模模具设计图文教程,模具设计,冲压,教程,第12张

KN95口罩耳带机现货、N95切片加内置鼻梁一体机、N95口罩机整套现货,厂家直销没有中间商,预订电话:13018639977

CNC数控编程培训、塑胶模具设计培训,冲压模具设计培训,精雕、ZBrush圆雕培训、Solidworks产品设计培训、pro/E产品设计培训,潇洒职业培训学校线下、线上网络学习方式,随到随学,上班学习两不误,欢迎免费试学!

联系电话:13018639977(微信同号)QQ:2033825601

学习地址:东莞市横沥镇新城工业区兴业路121号-潇洒职业培训学校

免责声明:
1;所有标注为智造资料网zl.fbzzw.cn的内容均为本站所有,版权均属本站所有,若您需要引用、转载,必须注明来源及原文链接即可,如涉及大面积转载,请来信告知,获取《授权协议》。
2;本网站图片,文字之类版权申明,因为网站可以由注册用户自行上传图片或文字,本网站无法鉴别所上传图片或文字的知识版权,如果侵犯,请及时通知我们,本网站将在第一时间及时删除,相关侵权责任均由相应上传用户自行承担。
[complaint:内容投诉]
智造资料网打造智能制造3D图纸下载,在线视频,软件下载,在线问答综合平台 » 冲压模具设计:冲裁件级进模模具设计图文教程